Lipids


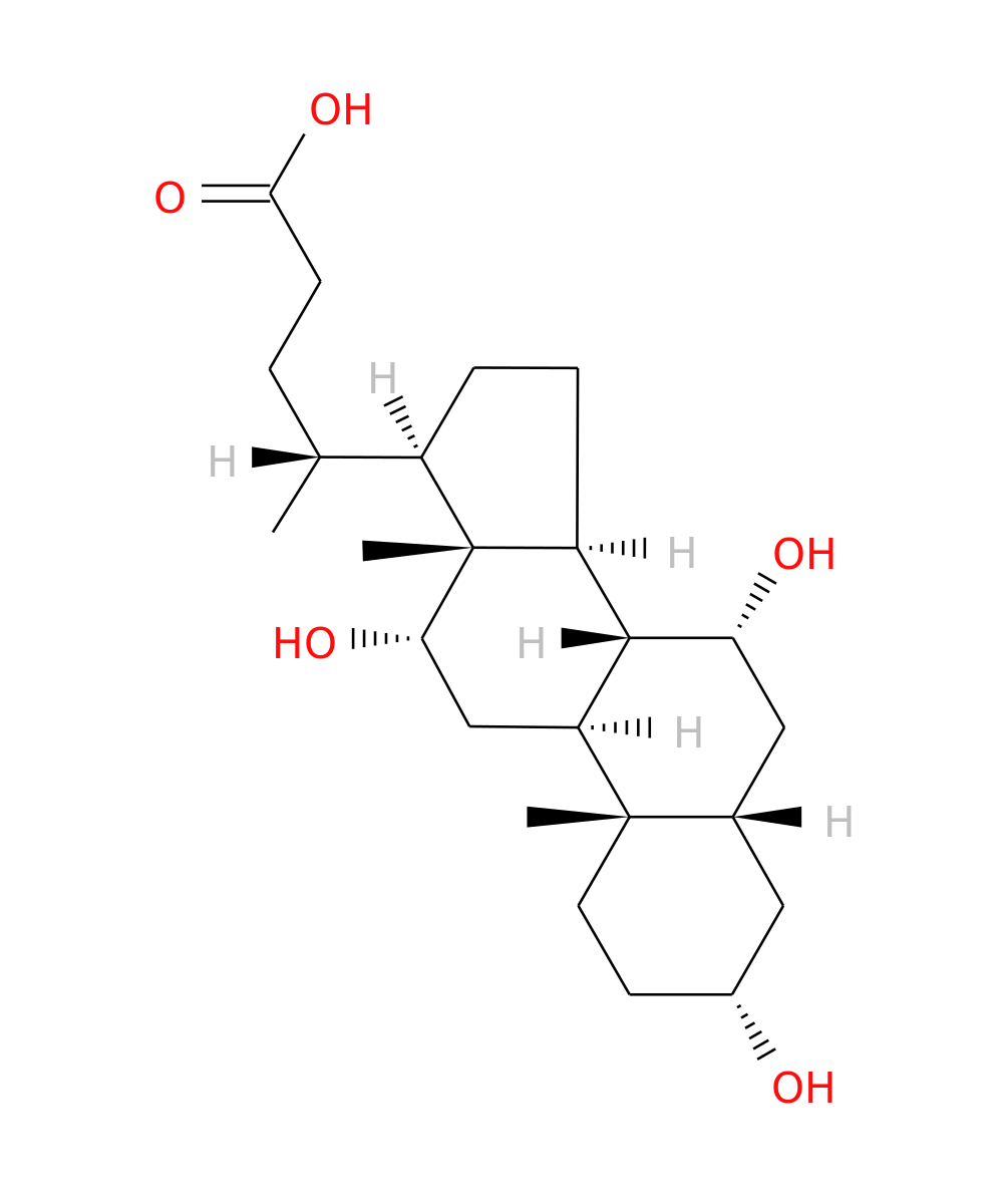
Name:CHOA
LipidMaps ID: LMST04010001
PubChem CID: 221493
Common name:Cholic acid
Systematic name:3Alpha,7Alpha,12Alpha-trihydroxy-5Beta-cholan-24-oic acid
IUPAC name:(4R)-4-[(3R,5S,7R,8R,9S,10S,12S,13R,14S,17R)-3,7,12-trihydroxy-10,13-dimethyl-2,3,4,5,6,7,8,9,11,12,14,15,16,17-tetradecahydro-1H-cyclopenta[a]phenanthren-17-yl]pentanoic acid
Formula:C24H40O5
Category:Sterol Lipids [ST]
Main class:Bile acids and derivatives [ST04]
Sub class:C24 bile acids, alcohols, and derivatives [ST0401]
Class level 4:
Available Topologies, Available Membranes

/media/lipids/LMST04010001.png
Curator: Jean-Marc Crowet on April 14, 2020