Lipids


Name:SEA1
LipidMaps ID: LMSL01070001
PubChem CID: 56928081
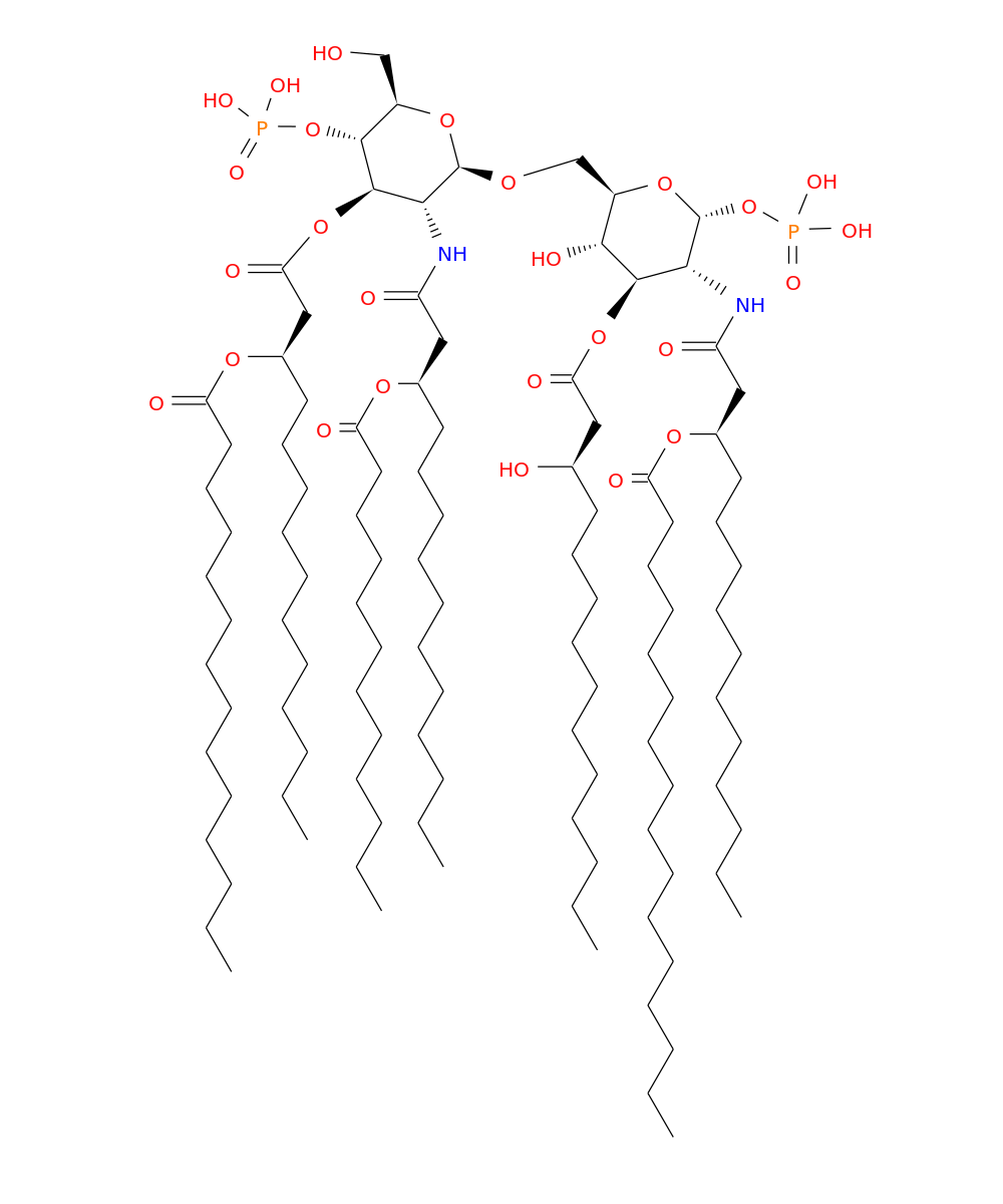
Common name:Salmonella enterica lipid A type 1 - LipidA(GlcN(P/​N-14:0(3-16:0)/​14:0(3OH)),GlcN(N-14:0(3-12:0)/​14:0(3-14:0)/​P))
Systematic name:
IUPAC name:[(3R)-1-[[(2R,3R,4R,5S,6R)-6-[[(2R,3R,4R,5S,6R)-3-[[(3R)-3-dodecanoyloxytetradecanoyl]amino]-6-(hydroxymethyl)-5-phosphonooxy-4-[(3R)-3-tetradecanoyloxytetradecanoyl]oxyoxan-2-yl]oxymethyl]-5-hydroxy-4-[(3R)-3-hydroxytetradecanoyl]oxy-2-phosphonooxyoxan-3-yl]amino]-1-oxotetradecan-3-yl] hexadecanoate
Formula:C110H208N2O26P2
Category:Saccharolipids [SL]
Main class:Acylaminosugars [SL01]
Sub class:Heptaacylaminosugars [SL0107]
Class level 4:
Available Topologies, Available Membranes

/media/lipids/LMSL01070001.png
Curator: Jean-Marc Crowet on July 21, 2020