Lipids


Name:ECA1
LipidMaps ID: LMSL01060003
PubChem CID: 9877306
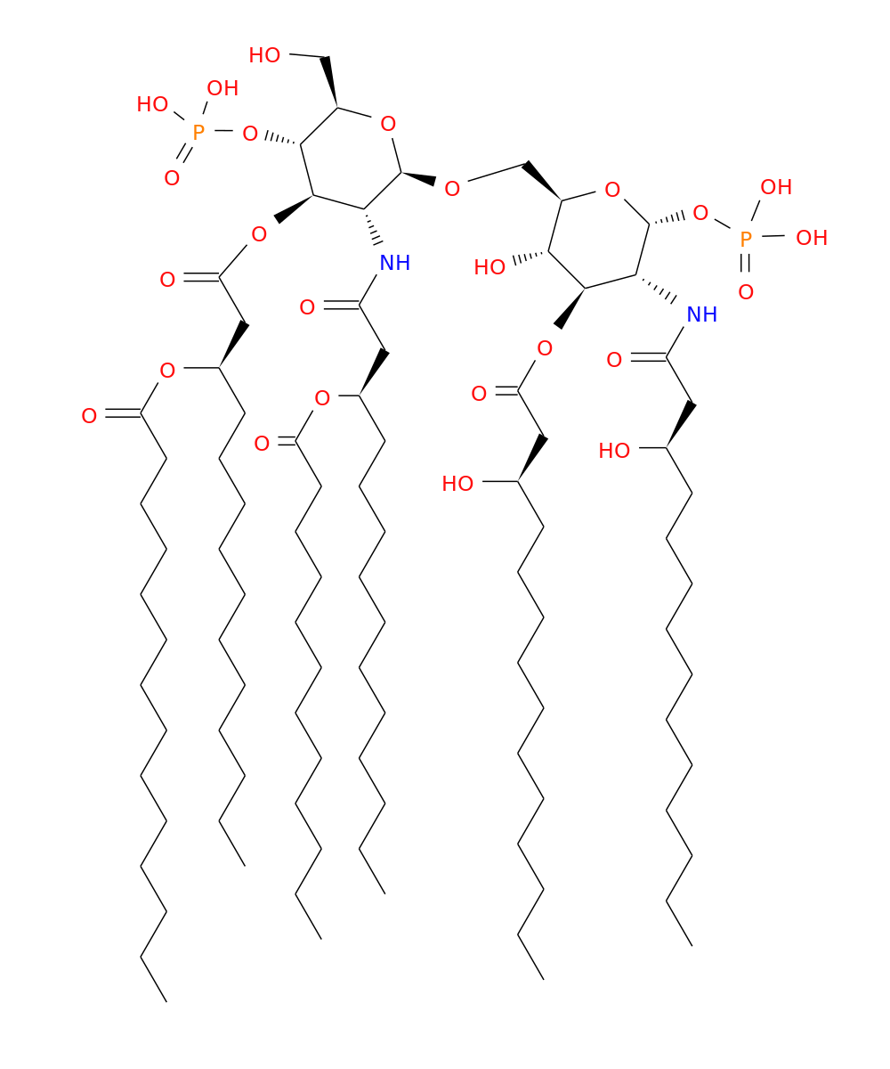
Common name:Escherichia coli lipid A type 1 - LipidA(GlcN(P/​N-14:0(3OH)/​14:0(3OH)),GlcN(N-14:0(3-12:0)/​14:0(3-14:0)/​P))
Systematic name:
IUPAC name:[(2R,3S,4R,5R,6R)-2-[[(2R,3R,4R,5S,6R)-3-[[(3R)-3-dodecanoyloxytetradecanoyl]amino]-6-(hydroxymethyl)-5-phosphonooxy-4-[(3R)-3-tetradecanoyloxytetradecanoyl]oxyoxan-2-yl]oxymethyl]-3-hydroxy-5-[[(3R)-3-hydroxytetradecanoyl]amino]-6-phosphonooxyoxan-4-yl] (3R)-3-hydroxytetradecanoate
Formula:C94H178N2O25P2
Category:Saccharolipids [SL]
Main class:Acylaminosugars [SL01]
Sub class:Hexaacylaminosugars [SL0106]
Class level 4:
Available Topologies, Available Membranes

/media/lipids/LMSL01060003.png
Curator: Jean-Marc Crowet on July 20, 2020