Lipids


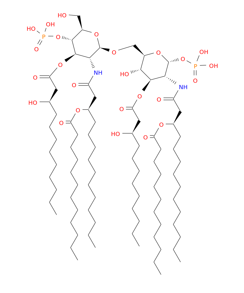
Name:NGA1
LipidMaps ID: LMSL01060002
PubChem CID: 24774162
Common name:Neisseria gonorrhoeae lipid A type 1 - LipidA(GlcN(P/​N-14:0(3-12:0)/​12:0(3OH)),GlcN(N-14:0(3-12:0)/​12:0(3OH)/​P))
Systematic name:
IUPAC name:[(2R,3S,4R,5R,6R)-5-[[(3R)-3-dodecanoyloxytetradecanoyl]amino]-2-[[(2R,3R,4R,5S,6R)-3-[[(3R)-3-dodecanoyloxytetradecanoyl]amino]-4-[(3R)-3-hydroxydodecanoyl]oxy-6-(hydroxymethyl)-5-phosphonooxyoxan-2-yl]oxymethyl]-3-hydroxy-6-phosphonooxyoxan-4-yl] (3R)-3-hydroxydodecanoate
Formula:C88H166N2O25P2
Category:Saccharolipids [SL]
Main class:Acylaminosugars [SL01]
Sub class:Hexaacylaminosugars [SL0106]
Class level 4:
Available Topologies, Available Membranes

/media/lipids/LMSL01060002.png
Curator: Jean-Marc Crowet on July 21, 2020