Lipids


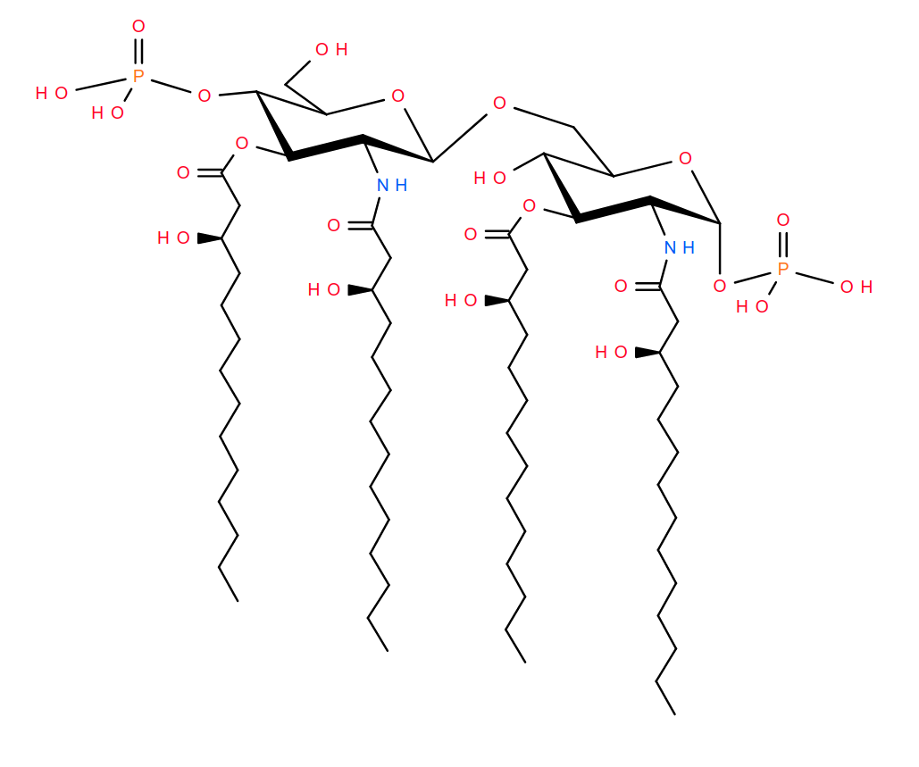
Name:YPA2
LipidMaps ID: LMSL01040001
PubChem CID: 5771769
Common name:Yersinia pestis lipid A type 2 - LipidA(GlcN(P/​N-14:0(3OH)/​14:0(3OH)),GlcN(N-14:0(3OH)/​14:0(3OH)/​P))
Systematic name:
IUPAC name:[(3S,5S,6R)-3-hydroxy-2-[[(2R,3S,5S)-6-(hydroxymethyl)-3-[[(3R)-3-hydroxytetradecanoyl]amino]-4-[(3R)-3-hydroxytetradecanoyl]oxy-5-phosphonooxyoxan-2-yl]oxymethyl]-5-[[(3R)-3-hydroxytetradecanoyl]amino]-6-phosphonooxyoxan-4-yl] (3R)-3-hydroxytetradecanoate
Formula:C68H130N2O23P2
Category:Saccharolipids [SL]
Main class:Acylaminosugars [SL01]
Sub class:Tetraacylaminosugars [SL0104]
Class level 4:
Available Topologies, Available Membranes

/media/lipids/LMSL01040001.png
Curator: Jean-Marc Crowet on July 21, 2020