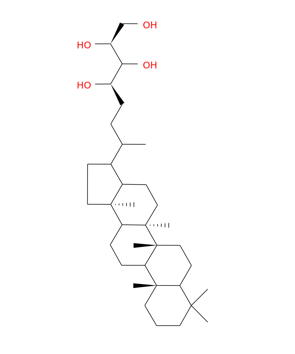
Lipids


Name:HBHT
LipidMaps ID: LMPR04000004
PubChem CID: 42608311
Common name:bacteriohopane-32,33,34,35-tetrol
Systematic name:
IUPAC name:(2S,4R)-7-[(5aR,5bR,11aS,13bS)-5a,5b,8,8,11a,13b-hexamethyl-1,2,3,3a,4,5,6,7,7a,9,10,11,11b,12,13,13a-hexadecahydrocyclopenta[a]chrysen-3-yl]octane-1,2,3,4-tetrol
Formula:C35H62O4
Category:Prenol Lipids [PR]
Main class:Hopanoids [PR04]
Sub class:
Class level 4:
Available Topologies, Available Membranes

/media/lipids/LMPR04000004.png
Curator: Jean-Marc Crowet on April 14, 2020