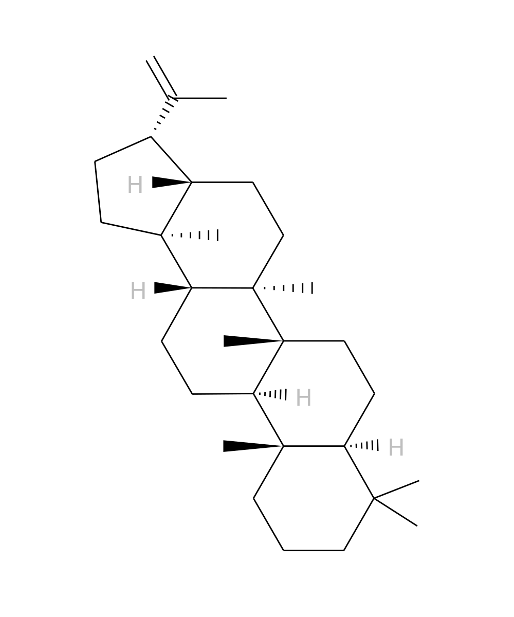
Lipids


Name:HDPT
LipidMaps ID: LMPR04000001
PubChem CID: 92155
Common name:Diploptene
Systematic name:Hop-22(29)-ene
IUPAC name:(3S,3aS,5aR,5bR,7aS,11aS,11bR,13aR,13bS)-5a,5b,8,8,11a,13b-hexamethyl-3-prop-1-en-2-yl-1,2,3,3a,4,5,6,7,7a,9,10,11,11b,12,13,13a-hexadecahydrocyclopenta[a]chrysene
Formula:C30H50
Category:Prenol Lipids [PR]
Main class:Hopanoids [PR04]
Sub class:
Class level 4:
Available Topologies, Available Membranes

/media/lipids/LMPR04000001.png
Curator: Jean-Marc Crowet on April 14, 2020