Lipids


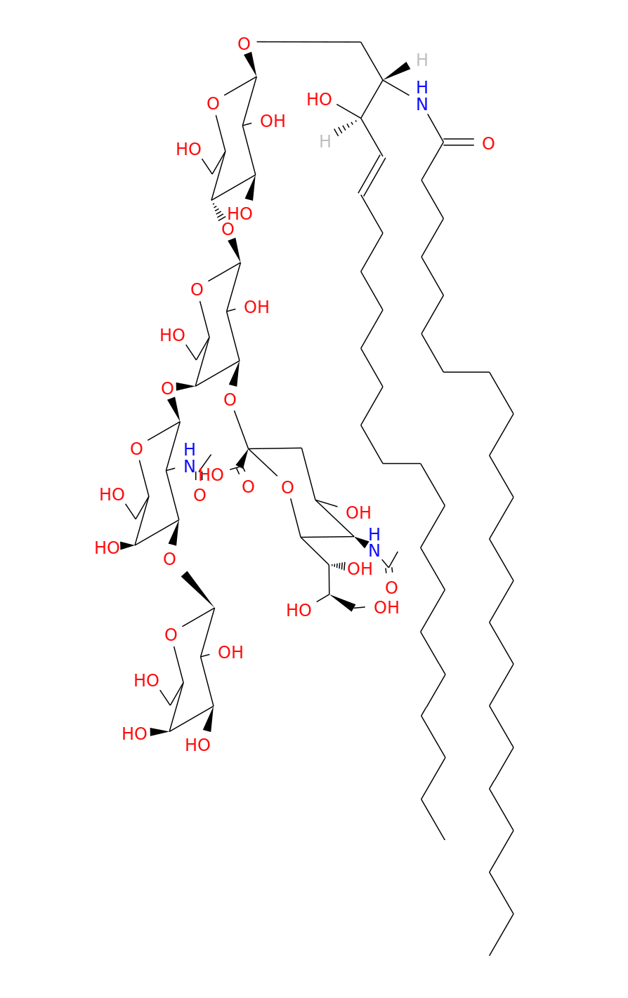
Name:DBG1
LipidMaps ID: LISP06010009
PubChem CID:
Common name:GM1(d22:1/​​​22:0)
Systematic name:Galbeta1-3GalNAcbeta1-4(NeuAcalpha2-3)Galbeta1-4Glcbeta-Cer(d22:1/22:0)
IUPAC name:(2S,5R)-5-acetamido-2-[(2S,4R,5S)-5-[(2S,4R,5R)-3-acetamido-5-hydroxy-6-(hydroxymethyl)-4-[(2R,4S,5R)-3,4,5-trihydroxy-6-(hydroxymethyl)oxan-2-yl]oxyoxan-2-yl]oxy-2-[(3S,4R,6R)-4,5-dihydroxy-2-(hydroxymethyl)-6-[(E,2S,3R)-3-hydroxy-2-(docosanoylamino)docos-4-enoxy]oxan-3-yl]oxy-3-hydroxy-6-(hydroxymethyl)oxan-4-yl]oxy-4-hydroxy-6-[(1R,2R)-1,2,3-trihydroxypropyl]oxane-2-carboxylic acid
Formula:C81H147N3O31
Category:Sphingolipids [SP]
Main class:Acidic glycosphingolipids [SP06]
Sub class:Gangliosides [SP0601]
Class level 4:
Available Topologies, Available Membranes

/media/lipids/LISP06010009.png
Curator: Jean-Marc Crowet on Dec. 12, 2020