Lipids


Name:LIA1
LipidMaps ID: LISL01070007
PubChem CID:
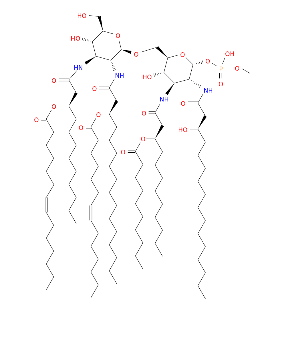
Common name:Leptospira interrogans lipad A - LipidA(GlcN(P-Me/​N-16:0(3OH)/​N-12:0(3-10:0)),GlcN(N-16:0(3-14:1(7Z))/​N-12:0(3-14:1(7Z))))
Systematic name:
IUPAC name:
Formula:C97H181N4O20P1
Category:Saccharolipids [SL]
Main class:Acylaminosugars [SL01]
Sub class:Heptaacylaminosugars [SL0107]
Class level 4:
Available Topologies, Available Membranes

/media/lipids/LISL01070007.png
Curator: Jean-Marc Crowet on July 20, 2020