Lipids


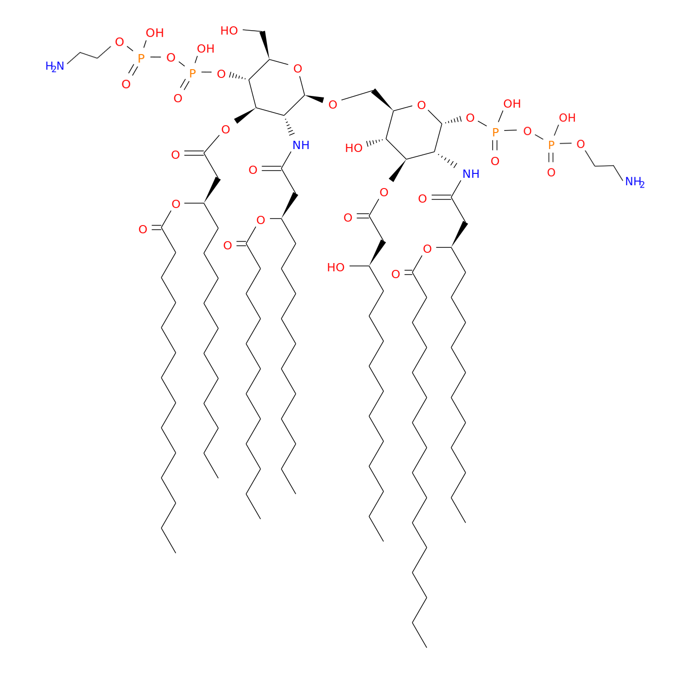
Name:SEA3
LipidMaps ID: LISL01070006
PubChem CID:
Common name:Salmonella enterica lipid A type 3 - LipidA(GlcN(P-P-EthN/​N-14:0(3-16:0)/​14:0(3OH)),GlcN(N-14:0(3-12:0)/​14:0(3-14:0)/​P-P-EthN))
Systematic name:
IUPAC name:
Formula:C114H220N4O32P4
Category:Saccharolipids [SL]
Main class:Acylaminosugars [SL01]
Sub class:Heptaacylaminosugars [SL0107]
Class level 4:
Available Topologies, Available Membranes

/media/lipids/LISL01070006.png
Curator: Jean-Marc Crowet on July 21, 2020