Lipids


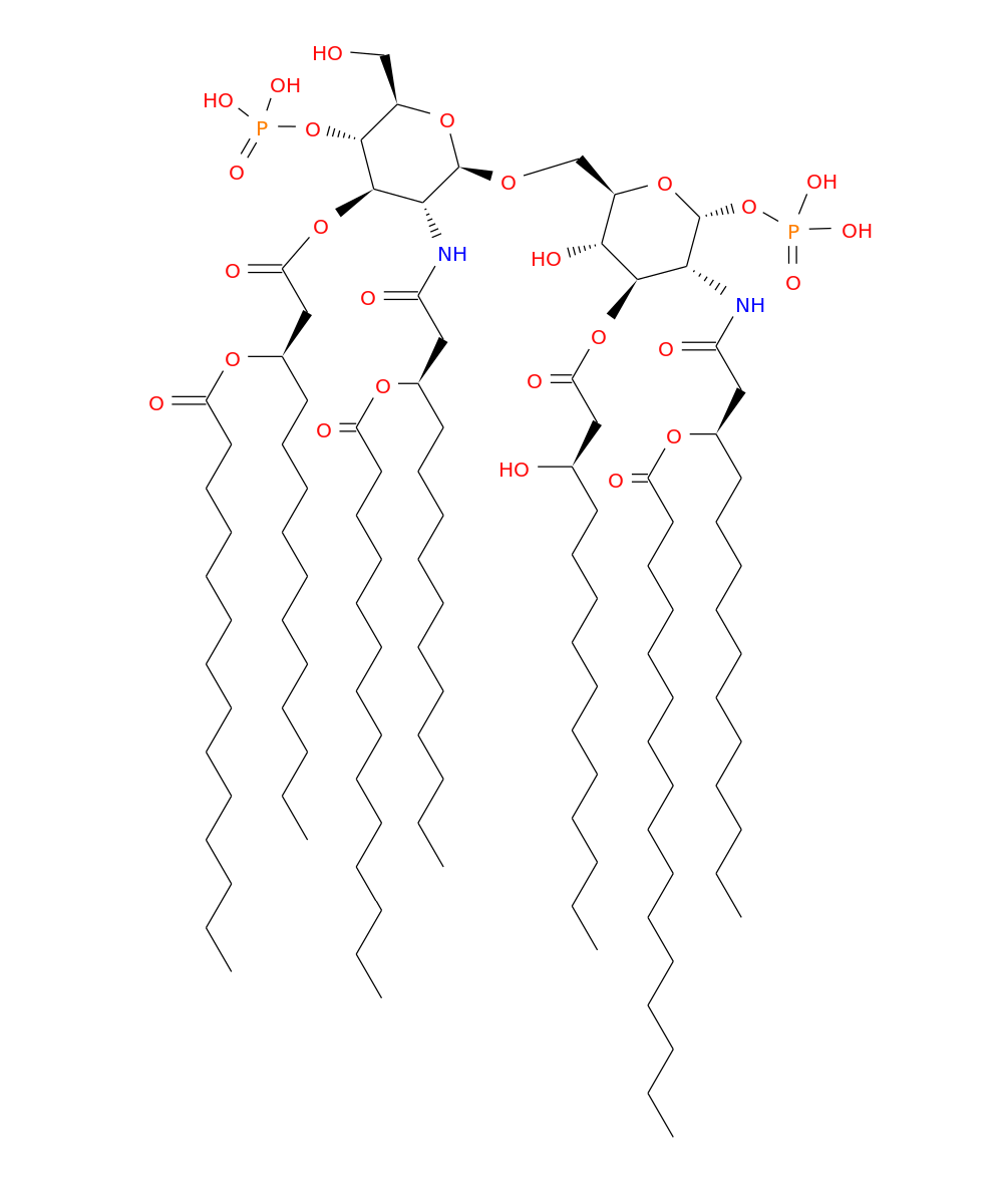
Name:KPA1
LipidMaps ID: LISL01070003
PubChem CID:
Common name:Klebsiella pneumonia lipid A type 1 - LipidA(GlcN(P/​N-14:0(3-16:0)/​14:0(3OH)),GlcN(N-14:0(3-14:0)/​14:0(3-14:0)/​P))
Systematic name:
IUPAC name:
Formula:C112H212N2O26P2
Category:Saccharolipids [SL]
Main class:Acylaminosugars [SL01]
Sub class:Heptaacylaminosugars [SL0107]
Class level 4:
Available Topologies, Available Membranes

/media/lipids/LISL01070003.png
Curator: Jean-Marc Crowet on July 20, 2020