Lipids


Name:ABA1
LipidMaps ID: LISL01070002
PubChem CID:
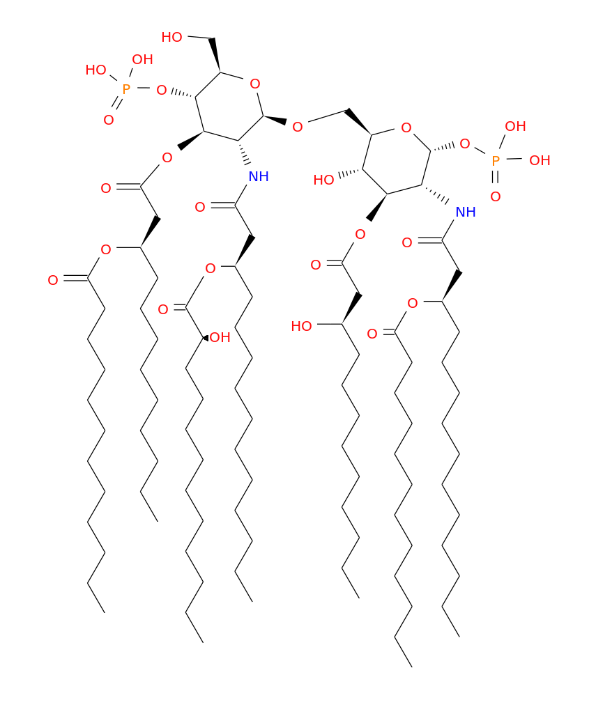
Common name:Acinetobacter baumannii lipid A type 1 - LipidA(GlcN(P/​N-14:0(3-12:0)/​12:0(3OH)),GlcN(N-14:0(3-12:0(3OH))/​12:0(3-12:0)/​P))
Systematic name:
IUPAC name:
Formula:C100H188N2O27P2
Category:Saccharolipids [SL]
Main class:Acylaminosugars [SL01]
Sub class:Heptaacylaminosugars [SL0107]
Class level 4:
Available Topologies, Available Membranes

/media/lipids/LISL01070002.png
Curator: Jean-Marc Crowet on July 20, 2020