Lipids


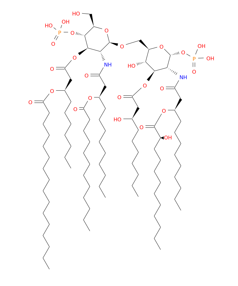
Name:PAA3
LipidMaps ID: LISL01070001
PubChem CID:
Common name:Pseudomonas aeruginosa lipid A type 3 - LipidA(GlcN(P/​N-12:0(3-12:0(3OH))/​10:0(3OH)),GlcN(N-12:0(3-12:0)/​10:0(3-16:0)/​P))
Systematic name:
IUPAC name:
Formula:C96H180N2O27P2
Category:Saccharolipids [SL]
Main class:Acylaminosugars [SL01]
Sub class:Heptaacylaminosugars [SL0107]
Class level 4:
Available Topologies, Available Membranes

/media/lipids/LISL01070001.png
Curator: Jean-Marc Crowet on July 21, 2020