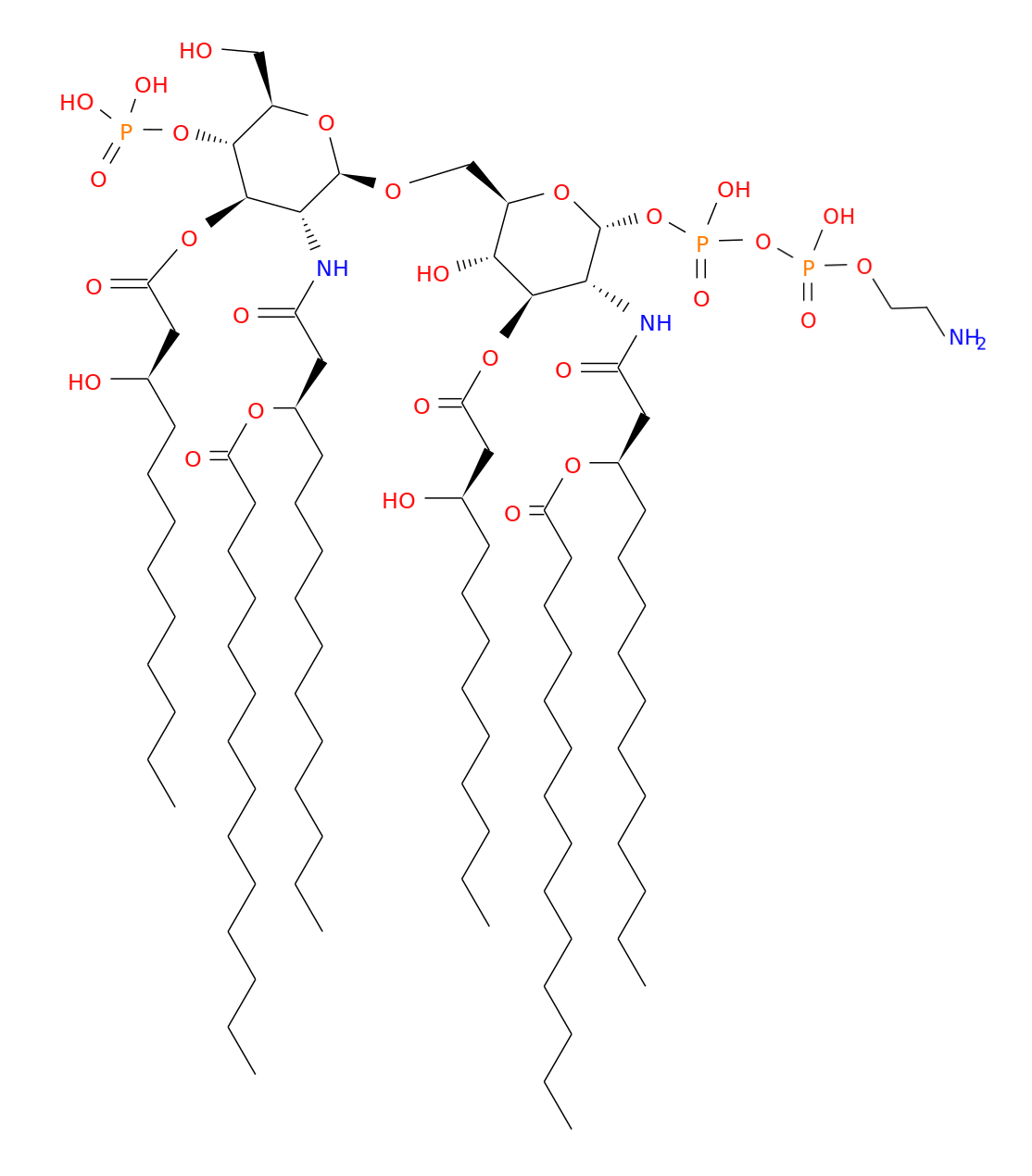
Lipids


Name:VCA4
LipidMaps ID: LISL01060014
PubChem CID:
Common name:Vibrio cholerae lipid A type 4 - LipidA(GlcN(P-P-EthN/​N-14:0(3-14:0)/​12:0(3OH)),GlcN(N-14:0(3-14:0)/​12:0(3OH)/​P))
Systematic name:
IUPAC name:
Formula:C94H179N3O28P3
Category:Saccharolipids [SL]
Main class:Acylaminosugars [SL01]
Sub class:Hexaacylaminosugars [SL0106]
Class level 4:
Available Topologies, Available Membranes

/media/lipids/LISL01060014.png
Curator: Jean-Marc Crowet on July 21, 2020