Lipids


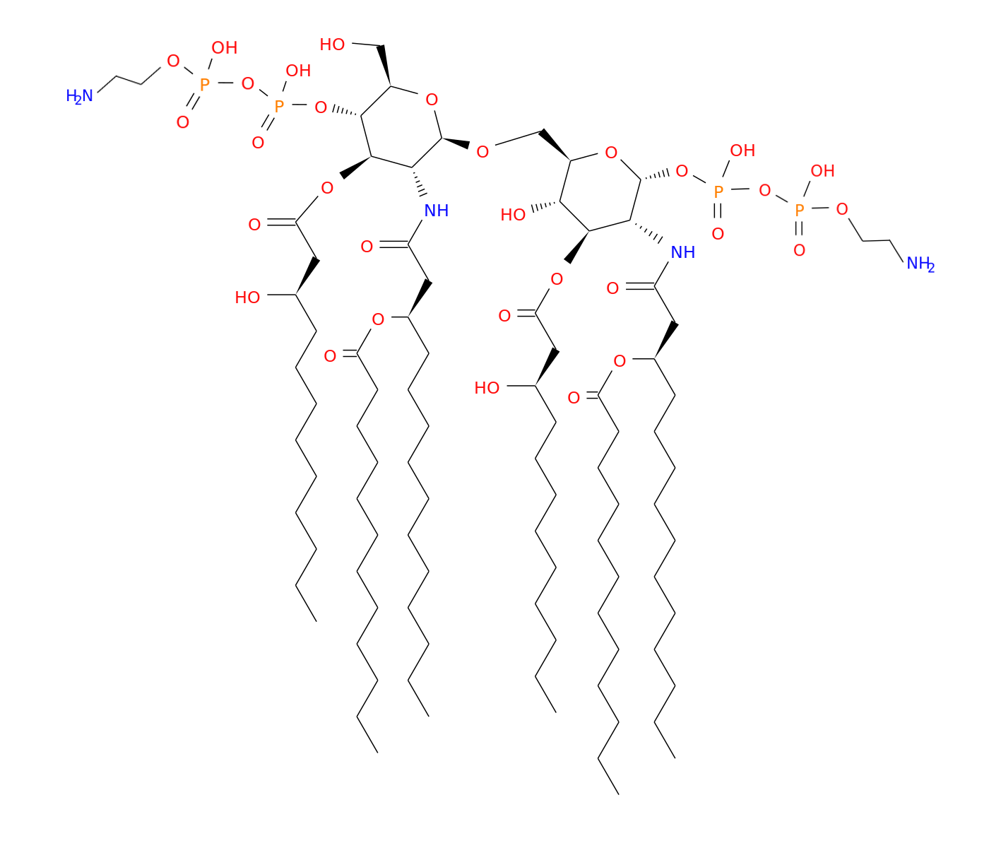
Name:NGA3
LipidMaps ID: LISL01060013
PubChem CID:
Common name:Neisseria gonorrhoeae lipid A type 3 - LipidA(GlcN(P-P-EthN/​N-14:0(3-12:0)/​12:0(3OH)),GlcN(N-14:0(3-12:0)/​12:0(3OH)/​P-P-EthN))
Systematic name:
IUPAC name:
Formula:C92H178N4O31P4
Category:Saccharolipids [SL]
Main class:Acylaminosugars [SL01]
Sub class:Hexaacylaminosugars [SL0106]
Class level 4:
Available Topologies, Available Membranes

/media/lipids/LISL01060013.png
Curator: Jean-Marc Crowet on July 21, 2020