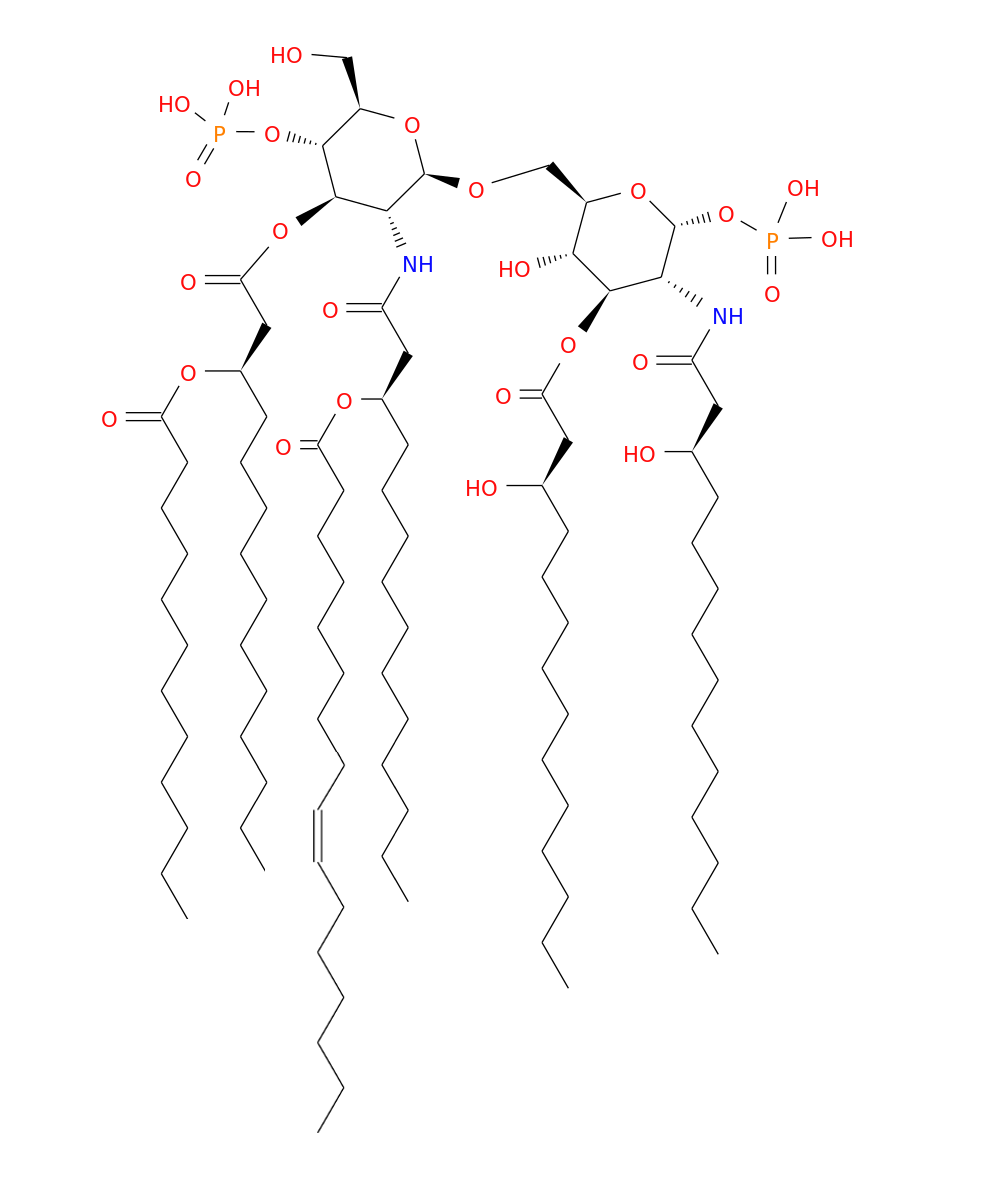
Lipids


Name:YPA1
LipidMaps ID: LISL01060012
PubChem CID:
Common name:Yersinia pestis lipid A type 1 - LipidA(GlcN(P/​N-14:0(3OH)/​14:0(3OH)),GlcN(N-14:0(3-16:1(9Z))/​14:0(3-12:0)/​P))
Systematic name:
IUPAC name:
Formula:C96H180N2O25P2
Category:Saccharolipids [SL]
Main class:Acylaminosugars [SL01]
Sub class:Hexaacylaminosugars [SL0106]
Class level 4:
Available Topologies, Available Membranes

/media/lipids/LISL01060012.png
Curator: Jean-Marc Crowet on July 21, 2020