Lipids


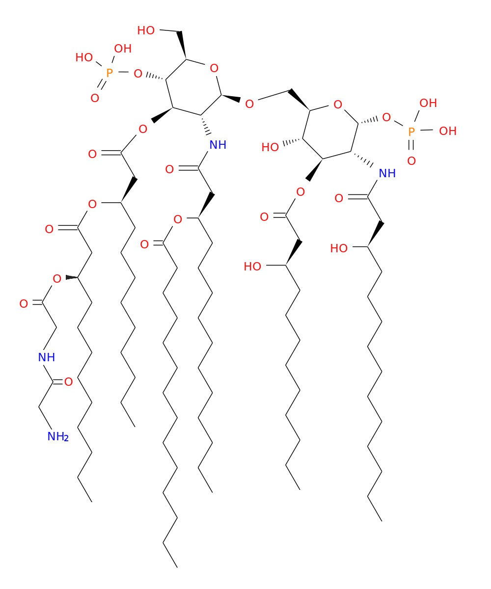
Name:VCA3
LipidMaps ID: LISL01060010
PubChem CID:
Common name:Vibrio cholerae lipid A type 3 - LipidA(GlcN(P/​N-14:0(3OH)/​12:0(3OH)),GlcN(N-14:0(3-14:0)/​12:0(3-12:0(3-EthN-EthN))/​P))
Systematic name:
IUPAC name:
Formula:C94H176N4O28P2
Category:Saccharolipids [SL]
Main class:Acylaminosugars [SL01]
Sub class:Hexaacylaminosugars [SL0106]
Class level 4:
Available Topologies, Available Membranes

/media/lipids/LISL01060010.png
Curator: Jean-Marc Crowet on July 21, 2020