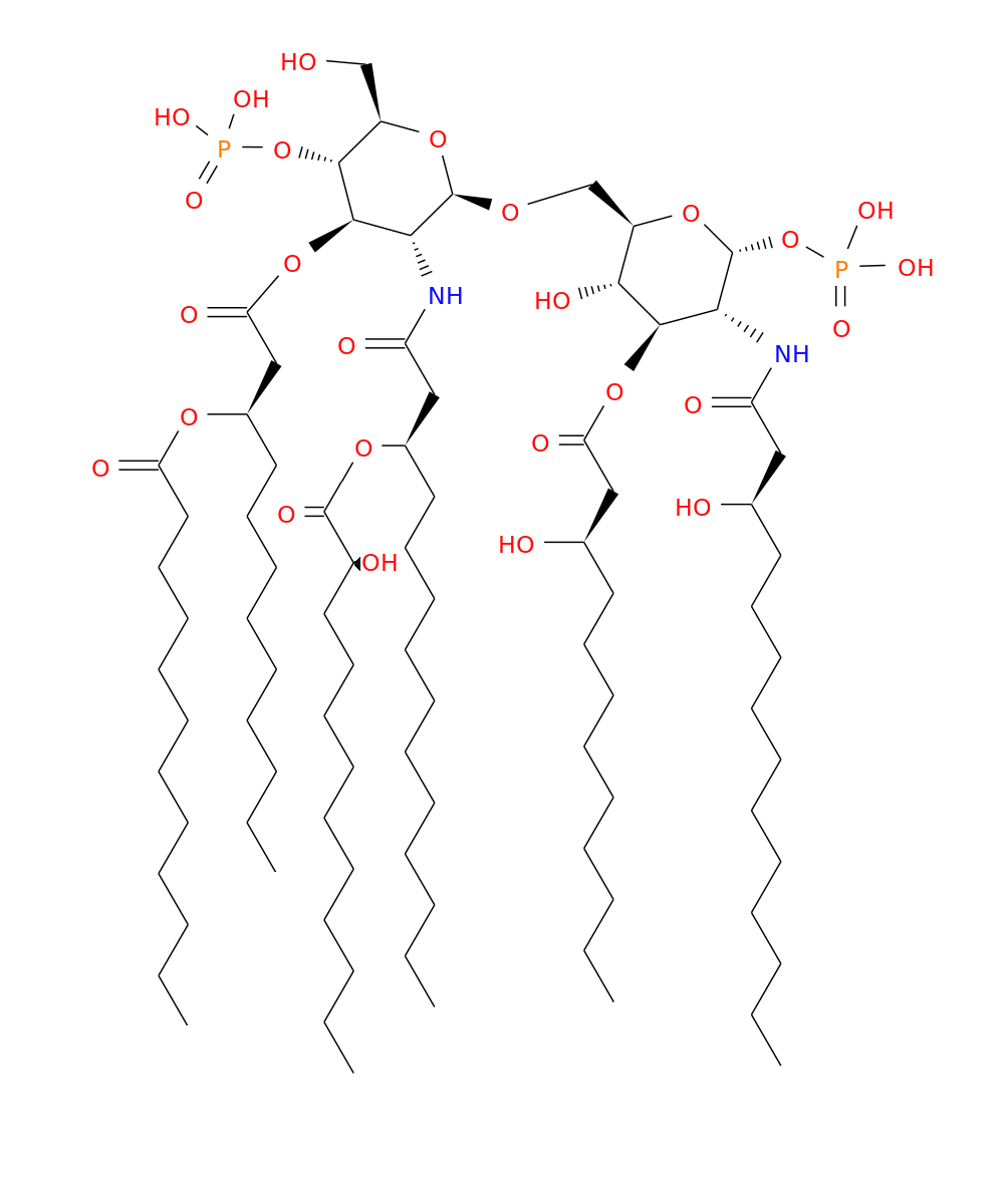
Lipids


Name:ABA2
LipidMaps ID: LISL01060007
PubChem CID:
Common name:Acinetobacter baumannii lipid A type 2 - LipidA(GlcN(P/​N-14:0(3OH)/​12:0(3OH)),GlcN(N-14:0(3-12:0(3OH))/​12:0(3-12:0)/​P))
Systematic name:
IUPAC name:
Formula:C88H166N2O26P2
Category:Saccharolipids [SL]
Main class:Acylaminosugars [SL01]
Sub class:Hexaacylaminosugars [SL0106]
Class level 4:
Available Topologies, Available Membranes

/media/lipids/LISL01060007.png
Curator: Jean-Marc Crowet on July 20, 2020