Lipids


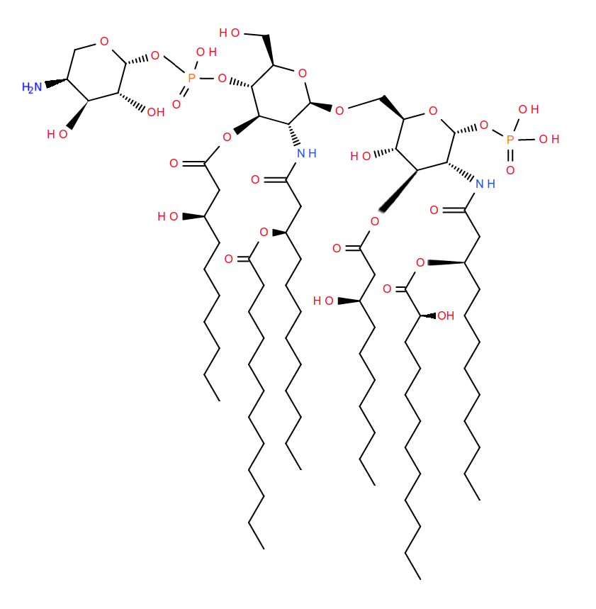
Name:PAA5
LipidMaps ID: LISL01060006
PubChem CID:
Common name:Pseudomonas aeruginosa lipid A type 5 - LipidA(GlcN(P/​N-12:0(3-12:0(3OH))/​10:0(3OH)),GlcN(N-12:0(3-12:0)/​10:0(3OH)/​P-LAraN))
Systematic name:
IUPAC name:
Formula:C85H158N3O29P2
Category:Saccharolipids [SL]
Main class:Acylaminosugars [SL01]
Sub class:Hexaacylaminosugars [SL0106]
Class level 4:
Available Topologies, Available Membranes

/media/lipids/LISL01060006.png
Curator: Jean-Marc Crowet on July 21, 2020