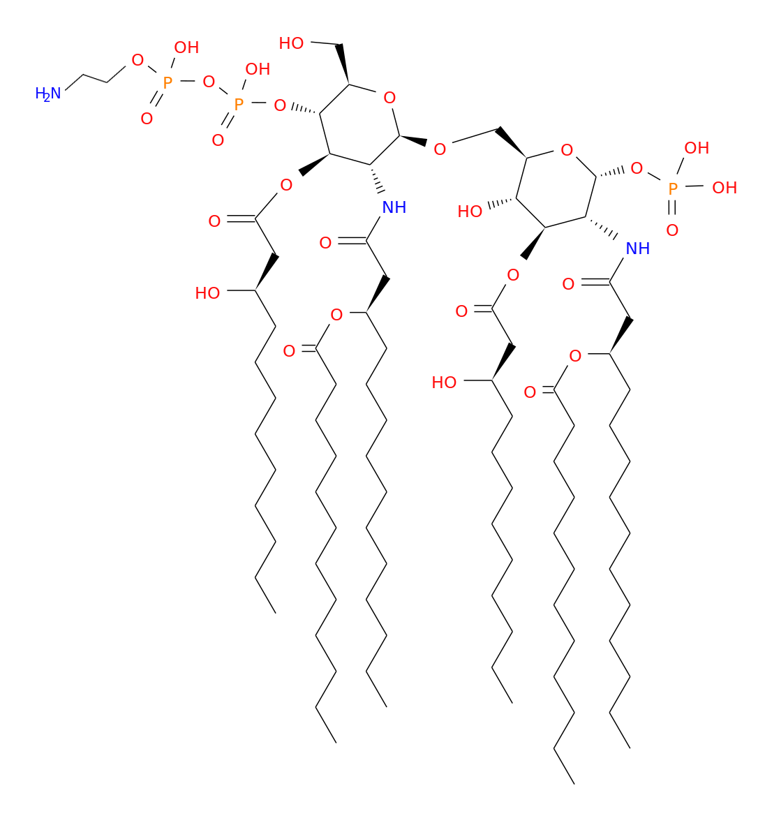
Lipids


Name:NGA2
LipidMaps ID: LISL01060005
PubChem CID:
Common name:Neisseria gonorrhoeae lipid A type 2 - LipidA(GlcN(P/​N-14:0(3-12:0)/​12:0(3OH)),GlcN(N-14:0(3-12:0)/​12:0(3OH)/​P-P-EthN))
Systematic name:
IUPAC name:
Formula:C90H172N3O28P3
Category:Saccharolipids [SL]
Main class:Acylaminosugars [SL01]
Sub class:Hexaacylaminosugars [SL0106]
Class level 4:
Available Topologies, Available Membranes

/media/lipids/LISL01060005.png
Curator: Jean-Marc Crowet on July 21, 2020