Lipids


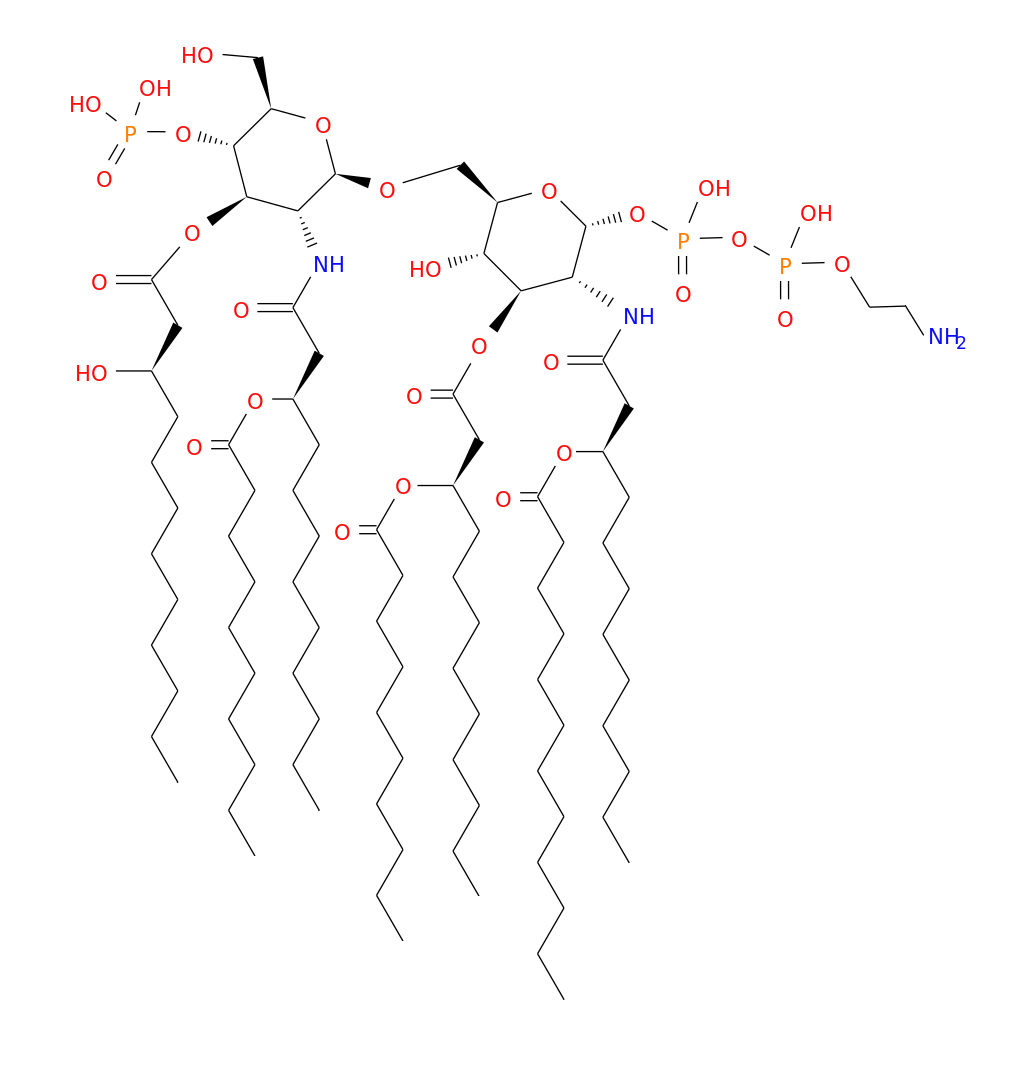
Name:MCA1
LipidMaps ID: LISL01060004
PubChem CID:
Common name:Moraxella catarrhalis lipid A - LipidA(GlcN(P-P-EthN/​N-12:0(3-12:0)/​12:0(3-10:0)),GlcN(N-12:0(3-10:0)/​12:0(3OH)/​P))
Systematic name:
IUPAC name:
Formula:C94H178N3O29P3
Category:Saccharolipids [SL]
Main class:Acylaminosugars [SL01]
Sub class:Hexaacylaminosugars [SL0106]
Class level 4:
Available Topologies, Available Membranes

/media/lipids/LISL01060004.png
Curator: Jean-Marc Crowet on July 20, 2020