Lipids


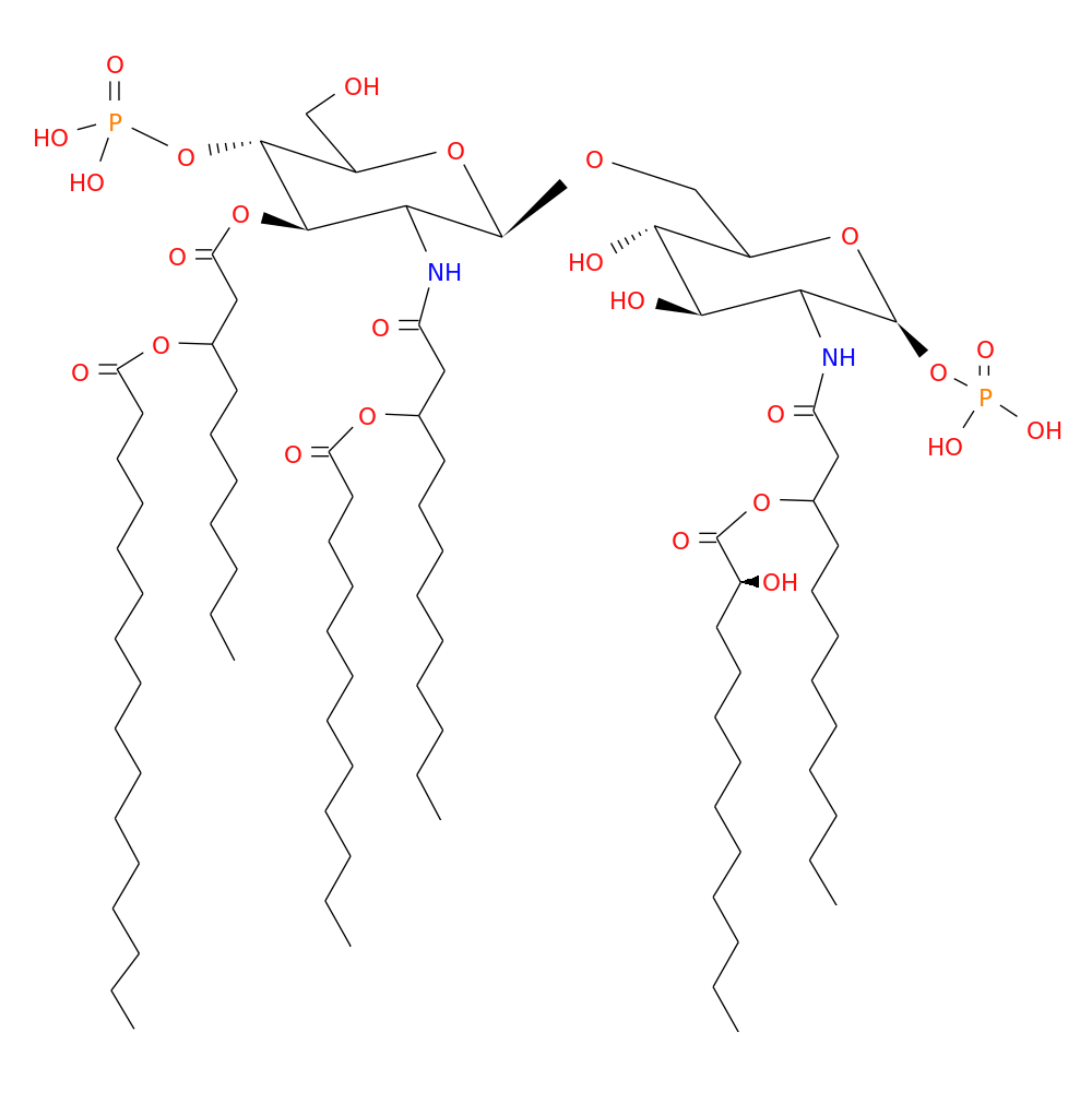
Name:PAA4
LipidMaps ID: LISL01060003
PubChem CID:
Common name:Pseudomonas aeruginosa lipid A type 4 - LipidA(GlcN(P/​N-12:0(3-12:0(3OH))/​0:0),GlcN(N-12:0(3-12:0)/​10:0(3-16:0)/​P))
Systematic name:
IUPAC name:
Formula:C86H162N2O25P2
Category:Saccharolipids [SL]
Main class:Acylaminosugars [SL01]
Sub class:Hexaacylaminosugars [SL0106]
Class level 4:
Available Topologies, Available Membranes

/media/lipids/LISL01060003.png
Curator: Jean-Marc Crowet on July 21, 2020