Lipids


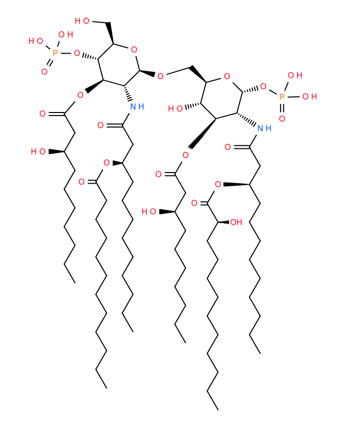
Name:PAA1
LipidMaps ID: LISL01060002
PubChem CID: 23421593
Common name:Pseudomonas aeruginosa lipid A type 1 - LipidA(GlcN(P/​N-12:0(3-12:0(3OH))/​10:0(3OH)),GlcN(N-12:0(3-12:0)/​10:0(3OH)/​P))
Systematic name:
IUPAC name:[(3R)-1-[[(2R,3R,4R,5S,6R)-6-[[(2R,3R,4R,5S,6R)-3-[[(3R)-3-dodecanoyloxydodecanoyl]amino]-4-[(3R)-3-hydroxydecanoyl]oxy-6-(hydroxymethyl)-5-phosphonooxyoxan-2-yl]oxymethyl]-5-hydroxy-4-[(3R)-3-hydroxydecanoyl]oxy-2-phosphonooxyoxan-3-yl]amino]-1-oxododecan-3-yl] (2S)-2-hydroxydodecanoate
Formula:C80H150N2O26P2
Category:Saccharolipids [SL]
Main class:Acylaminosugars [SL01]
Sub class:Hexaacylaminosugars [SL0106]
Class level 4:
Available Topologies, Available Membranes

/media/lipids/LISL01060002.png
Curator: Jean-Marc Crowet on July 21, 2020