Lipids


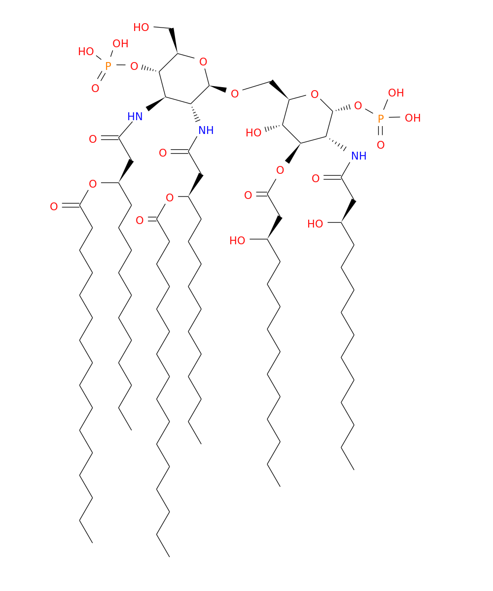
Name:CJA1
LipidMaps ID: LISL01060001
PubChem CID:
Common name:Campylobacter jejuni lipid A - LipidA(GlcN(P/​N-14:0(3OH)/​14:0(3OH)),GlcN(N-14:0(3-16:0)/​N-14:0(3-16:0)/​P))
Systematic name:
IUPAC name:
Formula:C100H191N3O24P2
Category:Saccharolipids [SL]
Main class:Acylaminosugars [SL01]
Sub class:Hexaacylaminosugars [SL0106]
Class level 4:
Available Topologies, Available Membranes

/media/lipids/LISL01060001.png
Curator: Jean-Marc Crowet on July 20, 2020