Lipids


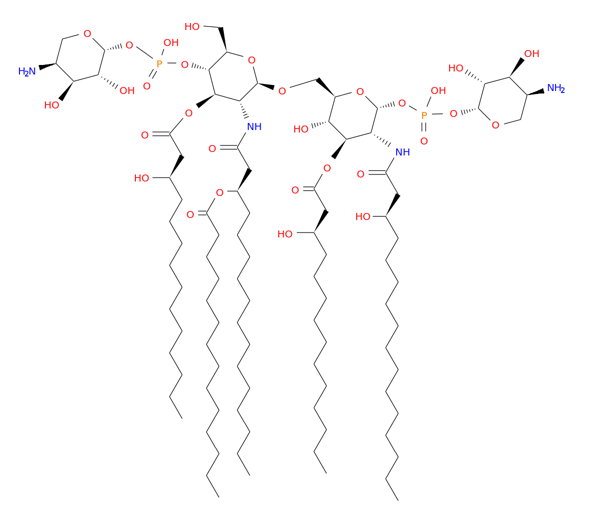
Name:BCA3
LipidMaps ID: LISL01050006
PubChem CID:
Common name:Burkholderia cepacia lipid A type 3 - LipidA(GlcN(P-LAraN/​N-16:0(3OH)/​14:0(3OH)),GlcN(N-16:0(3-14:0)/​14:0(3OH)/​P-LAraN))
Systematic name:
IUPAC name:
Formula:C96H182N4O30P2
Category:Saccharolipids [SL]
Main class:Acylaminosugars [SL01]
Sub class:Pentaacylaminosugars [SL0105]
Class level 4:
Available Topologies, Available Membranes

/media/lipids/LISL01050006.png
Curator: Jean-Marc Crowet on July 20, 2020