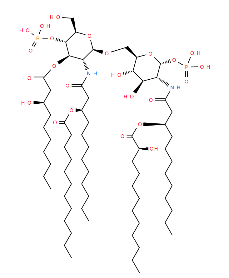
Lipids


Name:PAA2
LipidMaps ID: LISL01050004
PubChem CID:
Common name:Pseudomonas aeruginosa lipid A type 2 - LipidA(GlcN(P/​N-12:0(3-12:0(3OH))/​0:0),GlcN(N-12:0(3-12:0)/​10:0(3OH)/​P))
Systematic name:
IUPAC name:
Formula:C70H132N2O24P2
Category:Saccharolipids [SL]
Main class:Acylaminosugars [SL01]
Sub class:Pentaacylaminosugars [SL0105]
Class level 4:
Available Topologies, Available Membranes

/media/lipids/LISL01050004.png
Curator: Jean-Marc Crowet on July 21, 2020