Lipids


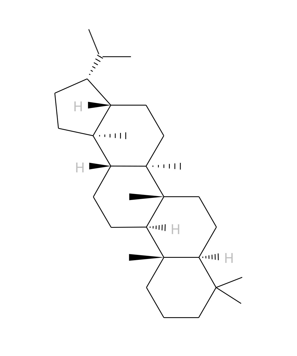
Name:HHOP
LipidMaps ID: LIPR04000001
PubChem CID: 10115
Common name:Hopane
Systematic name:Hopane
IUPAC name:(3R,3aS,5aR,5bR,7aS,11aS,11bR,13aR,13bS)-5a,5b,8,8,11a,13b-hexamethyl-3-propan-2-yl-1,2,3,3a,4,5,6,7,7a,9,10,11,11b,12,13,13a-hexadecahydrocyclopenta[a]chrysene
Formula:C30H52
Category:Prenol Lipids [PR]
Main class:Hopanoids [PR04]
Sub class:
Class level 4:
Available Topologies, Available Membranes

/media/lipids/LIPR04000001.jpg
Curator: Jean-Marc Crowet on April 14, 2020