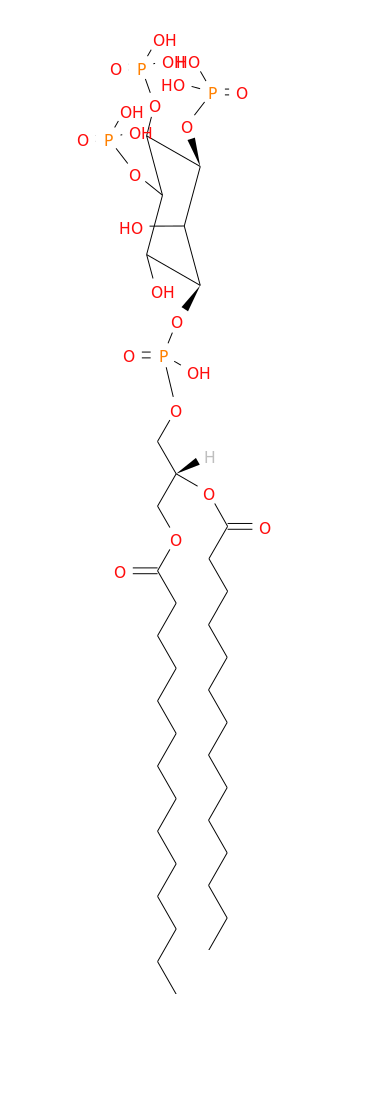
Lipids


Name:DMI7
LipidMaps ID: LIGP09010003
PubChem CID:
Common name:PIP3[3',4',5'](14:0/​​​14:0)
Systematic name:1,2-ditetradecanoyl-sn-glycero-3-phospho-(1'-myo-inositol-3',4',5'-trisphosphate)
IUPAC name:[(2R)-1-[[(5S)-2,6-dihydroxy-3,4,5-triphosphonooxycyclohexyl]oxy-hydroxyphosphoryl]oxy-3-tetradecanoyloxypropan-2-yl] tetradecanoate
Formula:C39H74O22P4
Category:Glycerophospholipids [GP]
Main class:Glycerophosphoinositol trisphosphates [GP09]
Sub class:Diacylglycerophosphoinositol trisphosphates [GP0901]
Class level 4:
Available Topologies, Available Membranes

/media/lipids/LIGP09010003.png
Curator: Jean-Marc Crowet on July 8, 2020