Lipids


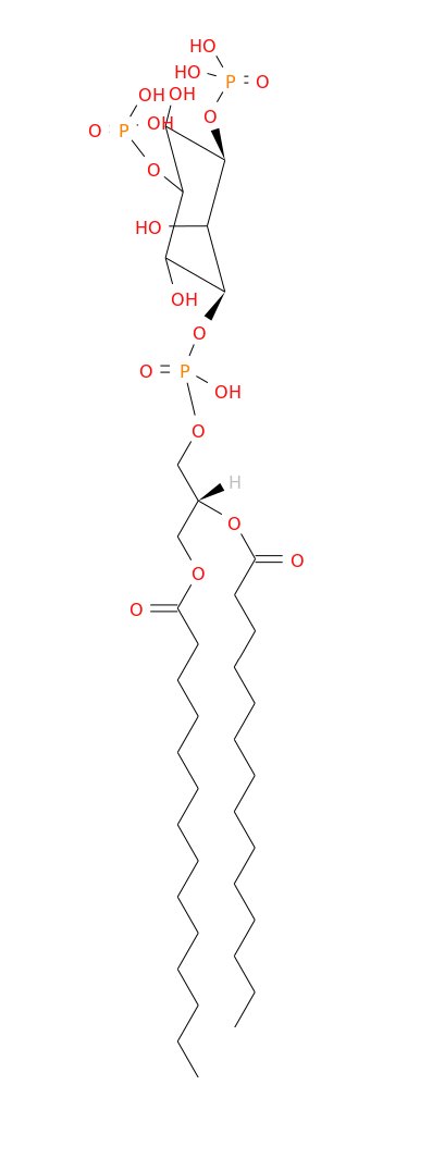
Name:DMI5
LipidMaps ID: LIGP08010007
PubChem CID:
Common name:PIP2[3',5'](14:0/​​​​14:0)
Systematic name:1,2-ditetradecanoyl-sn-glycero-3-phospho-(1'-myo-inositol-3',5'-bisphosphate)
IUPAC name:[(2R)-1-tetradecanoyloxy-3-[hydroxy-[(1S,5S)-2,4,6-trihydroxy-3,5-diphosphonooxycyclohexyl]oxyphosphoryl]oxypropan-2-yl] tetradecanoate
Formula:C37H73O19P3
Category:Glycerophospholipids [GP]
Main class:Glycerophosphoinositol bisphosphates [GP08]
Sub class:Diacylglycerophosphoinositol bisphosphates [GP0801]
Class level 4:
Available Topologies, Available Membranes

/media/lipids/LIGP08010007.png
Curator: Jean-Marc Crowet on July 8, 2020